~エスパス新宿歌舞伎町~ 徹底調査報告
2021.01.22
今回は土曜日+ゾロ目
ちなみに過去の土曜日の結果はこんな感じ👇

2022年1月15日 今週も土曜日がやってきたぞ!【エスパス新宿歌舞伎町】
~エスパス新宿歌舞伎町~ 徹底調査報告
2021.01.15
今週もエスパス歌舞伎が1週間

2022年1月8日 総差枚数+12万枚overの祭り!!!!【エスパス新宿歌舞伎町】
~エスパス新宿歌舞伎町~ 徹底調査報告
2021.01.08
土曜日に関してはもう何も言うこ

2021年12月25日 土曜日×⑤の日でAタイプ祭り⁉【エスパス新宿歌舞伎町】
~エスパス新宿歌舞伎町~ 徹底調査報告
2021.12.25
メリークリスマースdz
それでは早速詳細データを見ていこう。
2021.01.22(土)エスパス新宿歌舞伎町結果データ
ゾロ目末尾
| ゾロ目末尾 | |
| プラス台 | 33/59(勝率55%) |
| 平均差枚数 | 1,954枚 |

ゾロ目末尾はぞろ目日の定番なので良番必須だけど
その分質の高さは💮!!
数字に纏わる仕掛け①〈全台系〉
| 政宗3 | |
| プラス台 | 5/6(勝率83%) |
| 平均差枚数 | 1,140枚 |


| 吉宗3 | |
| プラス台 | 5/6(勝率83%) |
| 平均差枚数 | 650枚 |


| グレートキングハナハナ-30 | |
| プラス台 | 2/3(勝率66%) |
| 平均差枚数 | 1,290枚 |


| ツインドラゴンハナハナ-30 | |
| プラス台 | 4/7(勝率57%) |
| 平均差枚数 | 560枚 |


| バーサスリヴァイズ | |
| プラス台 | 7/7(勝率100%) |
| 平均差枚数 | 1,130枚 |


| ファンキージャグラー2KT | |
| プラス台 | 7/7(勝率100%) |
| 平均差枚数 | 1,130枚 |


全5機種と超大量の全台系を確認🔥
吉宗3 政宗3 ⇨ (1月+2+2日=5 ⑤文字機種)
ツインドラゴン グレキン ファンキー2 ⇨ (2+0+2+2年+1月+2+2日=11 ⑪文字機種)
バーサスリヴァイズ ⇨(令和4年+1月+2+2日=9 ⑨文字設置機種)
ざっと並べても量がすごすぎて、圧巻!!!
ファンキー2はプラス台のみグラフを掲載してみたけど
きれいに右肩上がりの台も多かった✊!
数字に纏わる仕掛け②〈並び〉

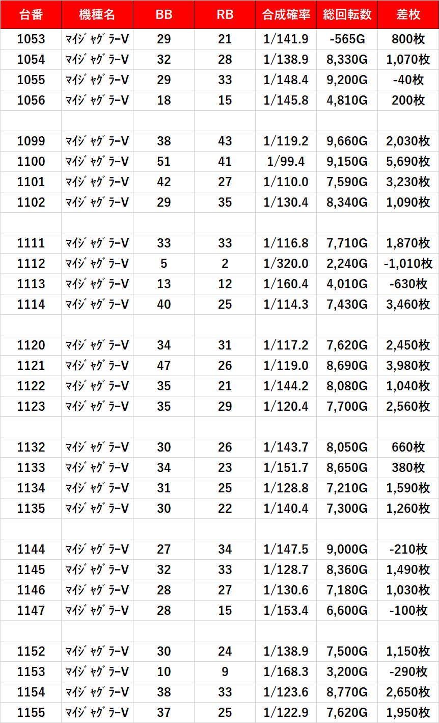
マイジャグⅤからぞろ目末尾を絡めた4台並びを複数確認!
土曜日恒例の並び×数字に纏わる仕掛×④台並び×ぞろ目かな!!
( 22日⇒【2+2=4台】じゃないかと予想!! )
ちなみにマイジャグⅤだけでも
50/83台(プラス率60%)
総差枚数+51390枚とかなり強かったぞ!!!
単品
その他単品:差枚4.600枚超えピックアップ

まとめ
| 本日の勝率 |
| 286/644台(勝率44%) |
ここ最近の土曜日とゾロ目の中でも上位レベルの仕掛けの多さ!!
これは各階のいたるところにチャンスはあったんじゃない!?
今回の注目箇所をまとめるぞ!
・全台系 今回は5機種
・4台並び
・ゾロ目末尾(日付に纏わる数字)
・単品
やっぱり土曜日のメインの仕掛けは「日付に纏わる機種」だね!
設置台数の多さに関係なく仕掛けてくれてるので
狙い機種を絞る際は文字数もチェックだ!
では、また~

